
把電容器兩極板間的電勢差增加1V所需的電量稱為電容器的電容。
電容器從物理學上講是一種靜態電荷存儲介質,形象的比喻就是電容器像一只水桶,水桶用來儲水,電容器則可以將電荷存儲起來。在沒有放電回路的情況下,也不考慮介質漏電自放電效應時,電容器可以永久性的存放電荷。
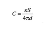
電容器的容量大小表征了電容器存儲電荷多少的能力,它是電容器的重要參數,不同電路功能會選擇不同容量大小的電容器。電容器容量大小用大寫字母C表示,容量大小C由下式決定:
式中 ε------介質的介電常數;
S------兩極板相對重疊部分的極板面積;
d------兩極板之間的距離。
由上式可知,電容器容量C的大小與兩極板相對面積S成正比,而與兩極板之間的距離d成反比,示意圖如圖4-4所示。
如圖4-5所示可以形象地說明電容器容量C與S、d之間的關系。

1法拉電容量的定義是:當外加在電容器上的電壓為1伏特,充電電流為1安培,充電時間為1秒時,將電容量定義為1法拉。用數學式表示如下:
C=Q/V=庫侖/伏特=法拉
式中 C------電容器電容量,單位為法拉(F);
Q------電容器內部存儲的電荷,單位為庫化(C);
V------電容器兩端的電壓,單位為伏特(V)。
由于法拉是一個很大的單位,在實際中很難達到,因此使用中常用pF和uF,它們之間的換算關系如下:
pF(讀做“皮法”)=10-12F
nF(讀做“納法”)=10-9F
uF(讀做“微法”)=10-6F
mF(讀做“毫法”)=10-3F
在電路圖中,標注電容量時常將uF簡化成u,將pF簡化成P。例如,3300P就是3300pF,10u就是10uF。
信息來源:電容器